钙、锌等矿物元素是人类健康饮食不可缺少的部分,重点实验室果树分子育种学科组廖燎助理研究员在韩月彭研究员的指导下,利用火焰原子吸收法对苹果资源成熟果实中的钙、锌含量进行了测定。
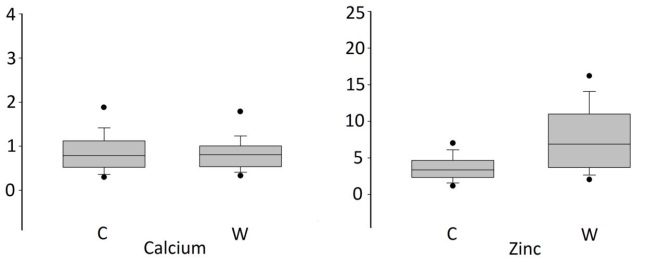
结果发现,苹果品种间果实钙、锌含量差异明显,钙含量品种间差异达23倍,而锌则高达95倍;栽培种和野生种之间钙浓度相似,但野生苹果锌浓度显著高于栽培种;不同地理起源的苹果果实之间钙和锌浓度不存在显著差异。此外,苹果果实中钙和锌的浓度在果实幼果期最高,膨大期显著降低,成熟期钙浓度呈现轻微下降趋势,而锌浓度则显示不同的变异模式。该研究首次解析了苹果资源果实中钙和锌积累的变异,研究结果为苹果矿物营养遗传改良提供了理论基础。
本项目得到了国家自然科学基金的资助,相关成果已在线发表于国际学术期刊 Journal of the Science of Food and Agriculture。

苹果资源果实不同时期钙锌含量的变化

苹果资源中钙锌含量的分布


