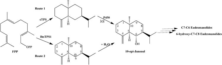
中国科学院植物种质创新与特色农业重点实验室天然药物生物合成组博士研究生苟君波在章焰生研究员的指导下,利用转录组文库构建和生化技术,从湖北旋覆花中成功分离了旋覆花特种精油成分(10-epi-junenol)合成基因(IhsTPS1),该精油作为保健品以及化妆品已逐渐在市场销售,但因其在植物体内超微量合成,利用传统精油制备技术,消耗太多植物原材料,成本过高.苟博士将其分离的精油合成基因IhsTPS1转入了酵母细胞,通过微生物简易发酵即能合成目标精油物质。该研究成果为利用合成生物技术规模化合成养生精油、食品香料以及化妆品等作好了铺垫。
该研究获得国家自然科学基金(31370339)的资助,研究结果以“Molecular cloning and functional analysis of a 10-epi-junenol synthase fromInulahupehensis”为题发表于Plant Physiology and Biochemistry上。

特种精油成分10-epi-junenol合成路径


