倍半萜内酯是菊科植物的特征性成分,也是其主要的药用成分,具有较强的抗肿瘤活性,且在抵抗微生物病菌、防治血吸虫和抗过敏活性方面具有较好的医用价值。近年来已然成为国内外研究的重点,而对倍半萜内酯的生物合成机制研究甚少,因而研究倍半萜内酯的生物合成途径和挖掘合成途径中的关键基因具有很重要的意义。
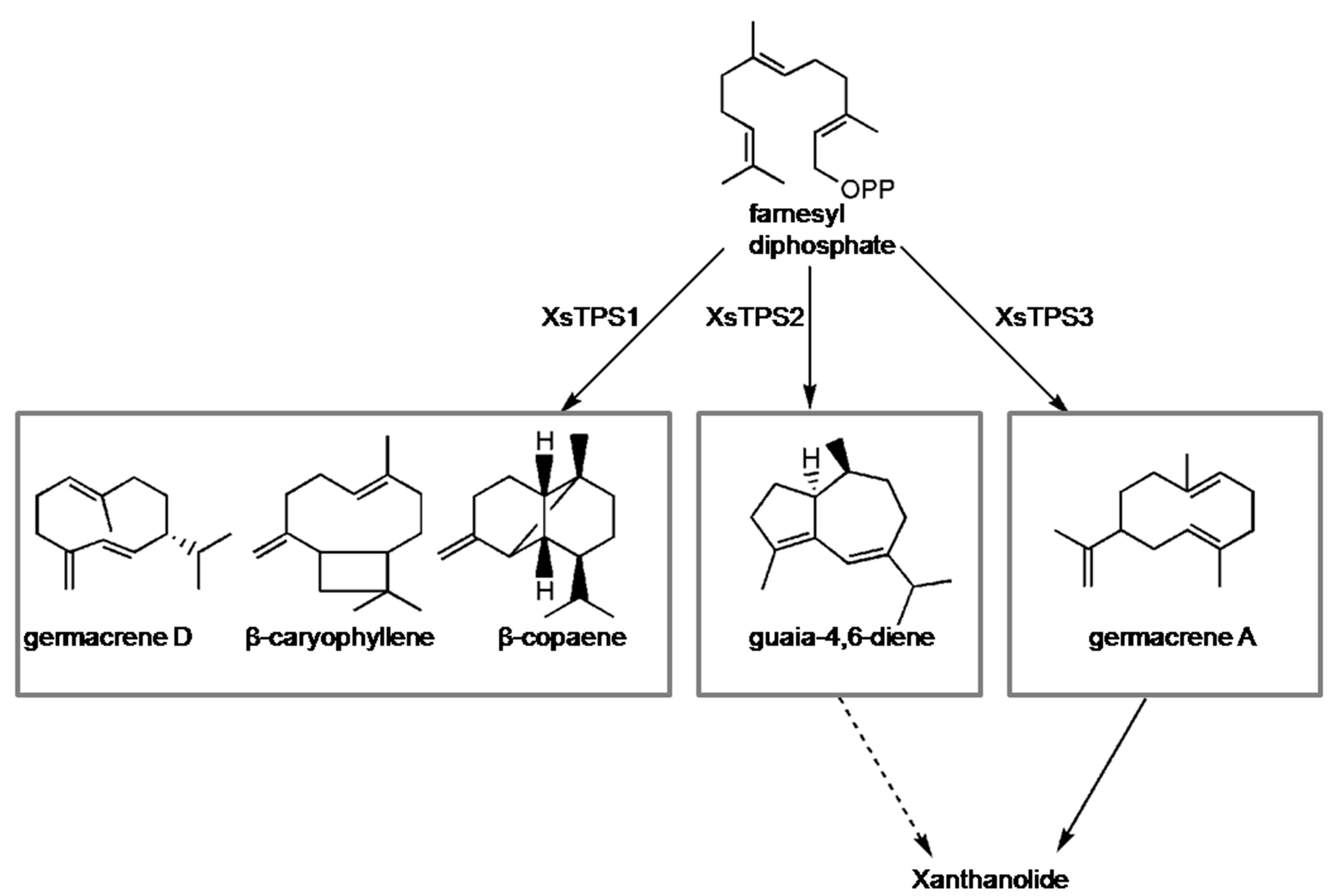
中国科学院武汉植物园天然药物生物合成学科组博士研究生李缘君在章焰生研究员的指导下,以湖北武汉和贵州遵义的苍耳为研究材料,分别建立了不同化学型苍耳叶片及苍耳腺毛(苍耳中倍半萜内酯合成和贮存的器官为表面的球状腺毛)的转录组数据库,通过比较转录组学研究,筛选并克隆了3条倍半萜合成途径上的倍半萜合酶基因(XsTPS1-3),并进行了功能分析。研究结果显示XsTPS1主要催化合成germacrene D,XsTPS2催化生成guaia-4,6-diene,XsTPS3生成germacrene A;而且苍耳中的XsTPS3的基因表达特性与其倍半萜内酯积累特性高度相关,可证明其参与了苍耳中倍半萜内酯的生物合成。该研究对倍半萜合酶基因的挖掘将为解析倍半萜物质的生物合成路径提供了分子证据,也为运用合成生物学技术规模化合成特异倍半萜提供了必要的基因元件。此外,在章焰生研究员的带领下,武汉植物园天然药物组与加拿大卡尔加里大学建立了合作关系,双方就倍半萜内酯合成下游关键酶基因挖掘的后续研究展开了合作,有望在不久的将来揭开倍半萜药物合成的神秘面纱。
该研究获得国家自然科学基金(NSFC Accession NO:31271341; 31370339)的资助,研究结果以“Identification and functional characterization of sesquiterpene synthase from Xanthium strumarium”为题发表于Plant and cell physiology。

苍耳中倍半萜类物质合成路径图(实线为本研究所支持步骤,虚线为文献推测步骤)







