物种多样性维持机制一直是群落生态学研究中的热点之一。其中,密度制约被认为是维持森林群落中物种共存的三大之一。然而,密度制约受生境异质性和物种功能属性(如生活型、耐荫性、扩散模式等)的影响。深入研究生境异质性和物种自身属性与密度制约强度的关联性具有重要的理论意义。
中国科学院武汉植物园植被生态学学科组以武陵山区八大公山25 hm2长期动态监测样地中小树和成树个体数均不少于25个的88个物种为研究对象,运用基于样地地形因子的参数法泊松异质性零模型(Heterogeneous Poisson process, HPP)的单变量双关联函数(univariate pair correlationfunction)和基于控制-案例法(case-control design)的随机标记零模型(random labeling null model, RL)的双变量双关联函数(bivariate pair correlation function),探讨密度制约自疏效应(density-dependent self-thinning)和稀疏效应(density-dependent thinning)在样地的普遍性和规律性。结果表明:八大公山样地中生境异质性强烈;剔除生境异质性干扰后密度制约在样地中普遍存在;密度制约强度与物种自身属性存在某种关联性。因此,物种自身属性和生境异质性共同决定了自然群落中物种多样性共存及维持。这些发现有助于阐明自然群落中物种分布格局规律,并且对于理解物种多样性共存机制具有重要意义。
该项研究由中国科学院武汉植物园植被生态学学科组博士生郭屹立在江明喜研究员和卢志军副研究员的指导下完成,研究得到国家自然科学基金项目和中国森林生物多样性监测网络项目资助。相关研究结果发表在Can. J. For. Res. (2015, 45: 710–720)上。
|
|
|
|
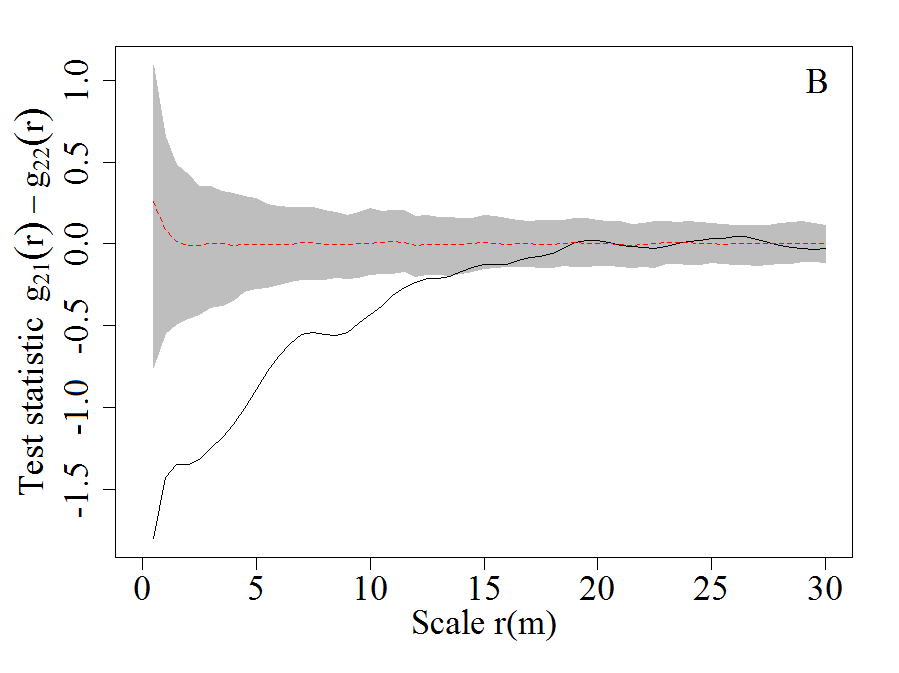
密度制约自疏效应普遍性随尺度的变化趋势(A),以亮叶水青冈为例(Fagus lucida, B) | |
|
|
|
|
密度制约稀疏效应普遍性随尺度的变化趋势(A),以亮叶水青冈为例(Fagus lucida, B) | |









