侵蚀区森林恢复及重造林的问题一直以来是恢复生态学方面的热点问题,而由此带来对其土壤碳氮有机库的影响仍难以预测。森林恢复通过长期的碳储存(植被生产力)在一定程度上可以抵消碳损失,但其对土壤碳氮库带来的影响不一定是正效应。
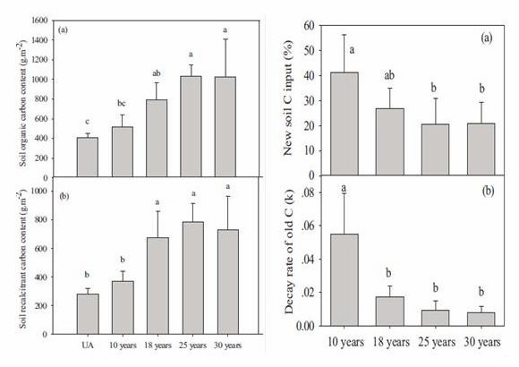
为揭示森林恢复对土壤碳氮循环的影响,武汉植物园系统生态学课题组博士生窦晓琳在程晓莉研究员的指导下,运用土壤分馏和碳氮稳定同位素方法(δ13C,δ15N)就我国南方红壤侵蚀区不同恢复年龄的马尾松林对土壤有机碳氮循环的影响机制进行了研究。该研究结果揭示,森林恢复龄为18-30年的马尾松林显著增加了土壤中碳氮含量,这与地上植被较高的生物量输入和较低的土壤有机质降解速率有关系;而森林恢复龄为10年的马尾松林中碳氮含量并没有显著增加,这是由于造林前几年的土壤碳流失率较高,而增加的凋落物输入并不足以弥补导致。稳定同位素分析表明,相比森林恢复龄18-30年的林分,森林恢复龄10年的林分土壤中老碳的降解速率更高;同时随着森林恢复年限的增加,土壤氮的损失是逐渐减小的。该研究不仅揭示出红壤侵蚀区土壤碳氮动态对于森林恢复的响应机制,也为当地政府的水土流失治理工作提供了可靠的科学依据和借鉴。
该研究得到了国家自然科学基金及中国科学院战略性先导专项的资助。相关研究成果以“Reforestation of Pinus massoniana alters soil organic carbon andnitrogendynamics in eroded soil in south China”为题,发表在国际生态学期刊Ecological Engineering上。

福建长汀红壤侵蚀区森林恢复对土壤有机碳的影响数据分析图
(系统生态学学科组)







