甲烷(CH4)是第二大温室气体,其百年尺度的全球增温潜势是二氧化碳的28-34倍,对全球变暖的贡献约为20%。透气良好的土壤中CH4氧化细菌能够氧化大气中的CH4,被认为是最重要的CH4生物汇。植物凋落物输入变化能够通过影响土壤生物及非生物因子,从而影响土壤CH4氧化过程。然而目前关于土壤CH4氧化对地上和地下凋落物输入变化的响应还存在诸多不确定性。
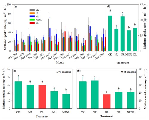
中国科学院武汉植物园土壤生态学学科组助理研究员吴君君在程晓莉研究员的指导下,在湖北省丹江口库区种植面积广泛的柏树人工林生态系统中开展了凋落物输入变化对土壤CH4氧化吸收影响的研究。结果表明,在所有的凋落物输入调控处理中,土壤都起着CH4汇的功能。与对照相比,去除地表凋落物和无碳输入处理土壤CH4氧化速率分别降低了37.7 ± 4.9%和41.7 ± 5.8%。相反,去除根系处理对土壤CH4氧化速率没有显著影响。添加凋落物对土壤CH4氧化速率的影响取决于土壤含水量的状况:湿季,添加凋落物使土壤CH4氧化速率降低了47.1 ± 4.9%;干季,添加掉落物对土壤CH4氧化速率没有显著影响。去除地表凋落物和无碳输入处理显著降低了底物的有效性及CH4氧化菌丰度,进而引起较低的CH4氧化速率。本研究表明,地表凋落物在调节土壤作为大气CH4汇的过程中比根系更为重要,地表凋落物的变化伴随着极端降雨和干旱频发对大气CH4吸收潜力有重要影响。

本研究得到国家自然科学基金 (31470557, 31770563) 和中科院战略先导专项B(XDB15010200)的资助,相关研究成果以“Soil net methane uptake rates in response to short-term litter input change in a coniferous forest ecosystem of central China”为题发表在SCI期刊“Agricultural and Forest Meteorology”上。
论文链接https://authors.elsevier.com/a/1YnMmcFXJSYQn

土壤甲烷氧化速率对凋落物输入变化以及干湿季节的响应







