科研进展

重点实验室在土地利用变化对土壤温室气体释放影响的研究中取得进展
2018/01/02 | 来源:| 【字号: 】【打印】【关闭

  土地利用变化是全球变化的重要组成部分,对土壤有机碳的动态有至关重要的影响。土壤呼吸是陆地生态系统向大气释放二氧化碳最主要的途径,对大气二氧化碳浓度都会产生深远的影响。甲烷是仅次于二氧化碳的第二大温室气体,其增温潜势是二氧化碳的28倍。透气良好的土壤能氧化大气中的甲烷,减缓全球变暖,因此被越来越多的研究。土地利用方式变化能够通过改变土壤物理化学性质以及微生物群落结构,进而对土壤呼吸和甲烷氧化产生影响。研究土地利用变化对土壤温室气体释放的影响对评估陆地生态系统碳动态有着重要的作用。 

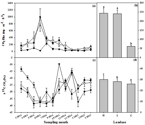
 重点实验室土壤生态学课题组博士生张倩和助理研究员吴君君在程晓莉研究员的指导下,以丹江口库区农田、灌丛和森林为对象,进行了为期一年的土壤呼吸及其同位素的测量。研究结果表明,造林显著增加了土壤呼吸,造林显著增加了土壤有机碳的数量和质量,从而使土壤呼吸增加。土壤呼吸碳同位素值与微生物碳同位素值呈显著正相关关系,造林改变了输入到土壤中凋落物的碳同位素信号值,进而使土壤呼吸同位素值产生变化。土壤呼吸可以作为土壤有机碳质量和数量较为灵敏的指示器,土壤呼吸较高意味着造林有效提升了土壤有机碳的总量(图1)。 

  同时,助理研究员吴君君在的程晓莉研究员的指导下,以丹江口库区农田、灌丛和森林为对象,运用稳定同位素的方法研究甲烷氧化速率,结果表明造林能够显著增加甲烷的氧化速率,灌丛和森林甲烷氧化速率较农田高186.3%93.5%,造林地甲烷氧化速率的增加和土壤有机碳的质量,氮的有效性以及微生物生物量的增加密切相关,农田较高浓度的无机氮反而抑制了甲烷氧化速率。同时,不同的植被类型对土壤甲烷氧化也有显著影响:豆科植物为优势种的植被类群下的土壤较针叶林类群有更高的甲烷氧化速率,可能是因为灌丛氮的有效性较高所引起的。甲烷氧化过程中,造林地较农田的同位素分馏系数低,证实了造林地更高的甲烷氧化速率。本研究表明在进行造林的过程中,土壤有机碳和氮的增加加强了对土壤甲烷的吸收,降低了温室效应(图2)。 

  本研究得到国家自然科学基金 (31470557, 31270550, 31770563)和中科院战略先导专项B(XDB15010200)的资助,相关研究成果以“Agricultural land use change impacts soil CO2emission and its 13C-isotopic signature in central China和“Afforestation enhanced soil CH4 uptake rate in subtropical China: evidence from carbon stable isotope experiments为题分别发表在国际SCI期刊Soil & Tillage ResearchSoil Biology and Biochemistry上。 

 

1 土地利用变化背景下土壤呼吸及其同位素的动态变化

2 土地利用变化对甲烷氧化速率及其同位素分馏的影响 

相关附件:

中国科学院水生植物与流域生态重点实验室 版权所有:中国科学院武汉植物园
技术支持:武汉植物园科技支撑中心 鄂ICP备05004779-1号 鄂公网安备42018502004676号