科研进展

重点实验室发现孑遗植物分布符合中心-边缘假说的遗传证据
2016/06/03 | 来源:| 【字号: 】【打印】【关闭

  中心-边缘假说(Central-Marginal Hypothesis)是物种分布区限制的重要理论假设之一。一般来说,中心-边缘假说假设物种的中心分布区比边缘分布区具有更加适宜的生存环境,进而导致(1)中心区种群丰度更大、种群内遗传多样性更高、种群间遗传分化更小和(2)中心向边缘的不对称基因流。在物种分布区尺度上,植物在纬度梯度上的遗传变异格局往往受中心-边缘动态和冰期后向北扩张(北半球)共同决定,进而导致沿纬度梯度遗传多样性的顶点多数情况下稍向南偏移,这种现象在受冰期影响较大的欧美地区更为突出。然而,以往此类研究往往忽略遗传变异地理格局形成的另一重要驱动因子——地形的影响。因此,本研究选取受冰期影响较弱且地形复杂的华中-西南地区,在物种分布区尺度上揭示植物遗传变异的地理格局及其形成过程中各驱动力(中心-边缘动态、冰期后迁移和地形)的相对作用。 

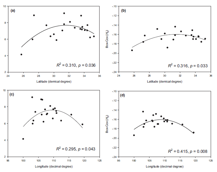
  重点实验室植被生态学科组以东亚特有孑遗植物领春木(Eupteleapleiospermum)为研究对象,采用核基因组微卫星标记,揭示其遗传多样性与遗传分化的地理格局,探讨地形(四川盆地、秦巴山地)和冰期后扩张对其遗传变异地理格局的影响。结果表明,(1)遗传多样性和遗传分化的地理格局整体上符合中心-边缘假说;这是由于该物种的冰期分布区与当前分布区基本吻合,除了当前四川盆地为非适宜生境;(2)四川盆地,而非秦巴山地(秦岭、大巴山),为遗传障碍;(3)与以往研究结果不同,遗传多样性沿纬度梯度的顶点并未南偏,反而呈现一定程度的北偏;这是由于该物种受冰期后分布区扩张的影响较弱,而其分布区中南部有较大面积不适生境(四川盆地),同时,分布区中北部有较大面积连续适宜生境(秦巴山地)。 

  魏新增副研究员为该论文的第一作者,研究得到国家自然科学基金项目、中国科学院青年创新促进会和国家留学基金委项目的资助。论文以“Genetic evidence for central-marginal hypothesis in a Cenozoic relict tree species across its distribution in China”为题在线发表于Journal of BiogeographyDOI: 10.1111/jbi.12788)上。 

  

 

  四川盆地而非秦巴山地为领春木扩散障碍(图1取样示意图;饼图为贝叶斯聚类分析结果;黑色折线为障碍分析结果) 

  

 

  遗传变异整体上符合中心-边缘假说 

  (图2遗传多样性的纬度梯度和经度梯度格局;AR等位基因丰富度Allelic RichnessHE预期杂合度Expected Heterozygosity 

相关附件:

中国科学院水生植物与流域生态重点实验室 版权所有:中国科学院武汉植物园
技术支持:武汉植物园科技支撑中心 鄂ICP备05004779-1号 鄂公网安备42018502004676号