内分泌干扰物(Endocrine disrupting chemicals, EDCs)是一类能对生物或人体的生殖、神经和免疫系统产生影响的外源性化学物质,主要来源于人类的生活排放。
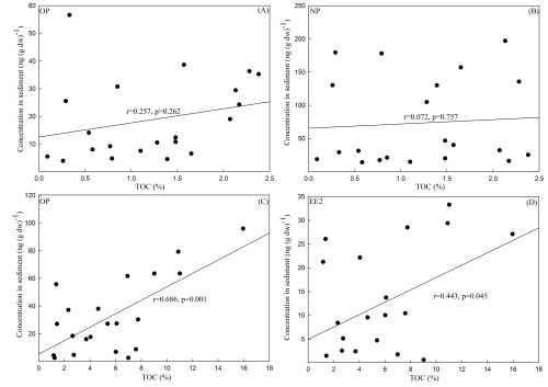
重点实验室污染生态学科组杨玉义博士在王俊研究员指导下,对长江中游湖泊洪湖和洞庭湖水体和沉积物中8种环境内分泌干扰物的分布规律和风险评估进行研究。洪湖水体和沉积物中环境内分泌干扰物的浓度分别为47.60-419.82 ng L-1和202.71-635.36 ng g-1 (干重),洞庭湖水体和沉积物中的浓度分别为43.52-394.21 ng L-1和70.01–464.63 ng g-1(干重)。其中,壬基酚、辛基酚和双酚A是主要的污染物,水体和沉积物中主要内分泌干扰物的浓度间不存在相关性。总有机碳的含量影响洪湖沉积物中辛基酚和17α-乙炔基雌二醇的分布。
该研究结果以在环境领域重要期刊Environmental Science and Pollution Research上发表。

洞庭湖及洪湖沉积物中总有机碳含量与内分泌干扰物含量的相关性分析

研究区域示意图
相关附件:
中国科学院水生植物与流域生态重点实验室 版权所有:中国科学院武汉植物园
技术支持:武汉植物园科技支撑中心 鄂ICP备05004779-1号 鄂公网安备42018502004676号