物种间相互作用是群落生态学的核心内容之一,主要包括竞争(Competition)和促进(Facilitation)两个方面。促进不仅能驱动物种生态位的融合、提高群落的多样性指数,而且可作为自然植物群落结构的重要驱动力促进植被恢复。尤其是在严峻或高度受干扰的环境中,促进与竞争可能同时发生,物种间互作的总效应取决于竞争和促进作用随环境梯度的相对变化。
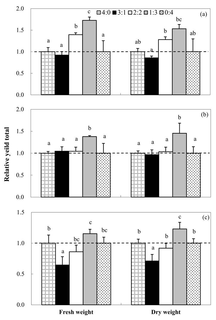
重点实验室湿地生态学组硕士研究生郝贝贝在刘贵华研究员和邢伟副研究员的指导下,对沉水植物建群种种间互作效应随富营养梯度的变化进行了探索研究。结果表明,随着水体营养的增加,沉水植物穗花狐尾藻(Myriophyllum spicatum)和微齿眼子菜(Potamogeton maackianus)之间的相互作用,发生了由促进到中性到竞争的变化,这与胁迫梯度假说(Stress Gradient Hypothesis)相一致;当穗花狐尾藻与微齿眼子菜的密度比为1:3时,表现出最大生物量和促进作用,这可能是由形态差异或生态位互补引起的。微齿眼子菜地下部分生物量相对较高,这与它的生殖策略有关。穗花狐尾藻和微齿眼子菜有相对较高的化学计量内稳性,可作为富营养化湖泊植被修复的先锋物种。因此,在富营养化淡水湖泊的生态修复中,可以利用穗花狐尾藻与微齿眼子菜1:3数量配比和促进作用来提高沉水植被修复的成功率。
该研究得到国家自然科学基金(31000163)、国家水专项(2012ZX07103003)及中科院青促会的资助。相关研究成果已在环境工程领域期刊Ecological Engineering上发表(2013, 60: 76-80)。

穗花狐尾藻和微齿眼子菜在不同数量配比和不同富营养条件下的相对产量总和
(虚线以上表示促进,虚线以下表示竞争)
相关附件:
中国科学院水生植物与流域生态重点实验室 版权所有:中国科学院武汉植物园
技术支持:武汉植物园科技支撑中心 鄂ICP备05004779-1号 鄂公网安备42018502004676号